Ochrana investice před inflací
Kalkulačka ochrany investice před inflací nabízí rychlý přehled výnosů, které by byly dosaženy z hypotetického proti-inflačního spořicího státního dluhopisu („SSD“), který má stejné parametry kalkulace výnosů jako skutečný proti-inflační SSD vydaný Ministerstvem financí dne 12. června 2012.
Kalkulačka dále zobrazuje porovnání ročních výnosů proti-inflačního SSD, příslušné meziroční míry inflace a příslušné bazické indexy spotřebitelských cen k základnímu období (bází bazických indexů je rok 2005) zveřejněné Českým statistickým úřadem (dále „ČSÚ“). Daný přehled ukazuje také vývoj stavu proti-inflačních SSD po reinvestici výnosu. Součástí kalkulačky je i celkové vyhodnocení investice za období jejího trvání, které srovnává výnos proti-inflačních SSD se změnou cenové hladiny za stejné období. Z celkového vyhodnocení investice jasně vyplývá, že výnos proti-inflačního SSD za dobu trvání investice je vždy vyšší než změna cenové hladiny za stejné období.
Stanovení výnosu proti-inflačního SSD
V reakci na časté dotazy na metodiku stanovení výnosu proti-inflačního SSD a míru ochrany počáteční investice před inflací Ministerstvo financí zveřejňuje odpovědi na nejčastější dotazy a ukázkový příklad stanovení výnosu proti-inflačního SSD.
Otázky a odpovědi:
1. Proč výnos proti-inflačního SSD neodpovídá míře inflace zveřejněné ČSÚ?
ČSÚ zveřejňuje několik ukazatelů týkajících se inflace. Prvním ukazatelem, který ČSÚ pravidelně měsíčně zveřejňuje, je meziroční míra inflace definovaná jako podíl bazického cenového indexu pro příslušný měsíc daného roku a bazického cenového indexu pro příslušný měsíc předchozího roku. Např. zveřejněná meziroční míra inflace za měsíc prosinec 2012 ve výši 2,4 % představuje změnu cenové hladiny oproti prosinci 2011. Tato meziroční míra inflace je definována pro období dvanácti měsíců a nemůže odpovídat výnosu proti-inflačního SSD, protože výnosové období proti-inflačního SSD, je šestiměsíční.
Dalším ukazatelem zveřejňovaným ČSÚ, ze kterého nelze odvodit šestiměsíční výnos proti-inflačního SSD, z důvodu různých posuzovaných časových období, je průměrná roční míra inflace. Tato míra inflace je definována přírůstkem průměrného ročního indexu spotřebitelských cen a vyjadřuje procentní změnu průměrné cenové hladiny za 12 posledních měsíců proti průměru 12 předchozích měsíců. Např. zveřejněná průměrná roční míra inflace za rok 2012 ve výši 3,3 % představuje změnu průměrné cenové hladiny v roce 2012 oproti průměrné cenové hladině v roce 2011.
Posledním ukazatelem míry inflace, který ČSÚ pravidelně zveřejňuje na měsíční bázi a který lze využít pro potřeby výpočtu výnosu proti-inflačního SSD, je meziměsíční míra inflace založená na bazických cenových indexech. Tato míra inflace je definována jako přírůstek indexu spotřebitelských cen v daném měsíci k předchozímu měsíci. Šestiměsíční míru inflace lze stanovit ze zveřejněných meziměsíčních měr inflace jako součin šesti po sobě jdoucích cenových indexů, které lze vypočítat přičtením 100 k meziměsíční míře inflace a vydělením součtu 100. Z výsledného součinu je nutno odečíst 1 a vynásobit 100 pro vyjádření šestiměsíční míry inflace v procentech. Z důvodu nižší přehlednosti výpočtu šestiměsíční míry inflace odpovídající šestiměsíčnímu výnosu proti-inflačního SSD, tuto míru inflace Ministerstvo financí nepoužívá.
Při stanovení výnosu proti-inflačního SSD, vychází Ministerstvo financí z bazických cenových indexů (životních nákladů), ze kterých lze vypočítat šestiměsíční míru inflace. Přesný výpočet šestiměsíčního výnosu proti-inflačního SSD, pro první výnosové období naleznete v Oznámení o výnosu, které je ke stažení na internetových stránkách spořicích státních dluhopisů.
ČSÚ pravidelně (na měsíční bázi) zveřejňuje meziroční míru inflace, průměrnou roční míru inflace, meziměsíční míru inflace a bazický cenový index na svých internetových stránkách .
2. Zaručuje výnos proti-inflačního SSD ochranu počáteční investice před inflací po dobu trvání investice?
Ano, výnos proti-inflačního SSD zaručuje ochranu počáteční investice před inflací po dobu trvání investice, jelikož výnos proti-inflačního SSD za výnosové období je vždy stanoven na základě míry inflace za stejné období. Navíc v případě půlroční deflace (pokles bazického cenového indexu ke konci výnosového období oproti bazickému cenovému indexu na začátku výnosového období) jmenovitá hodnota držených SSD zůstane stejná, zatímco reálná hodnota stoupne, tj. stav držených proti-inflačních SSD zůstane na konci výnosového období stejný jako na jeho počátku, místo toho, aby byl o příslušnou míru deflace snížen. V kalkulačce je tato skutečnost znázorněna tím, že půlroční výnos proti-inflačního SSD pro dané výnosové období činil 0 % p.s. Tato skutečnost vyplývá z emisních podmínek proti-inflačního SSD. Z celkového vyhodnocení dle kalkulačky vyplývá, že výnos proti-inflačního SSD za dobu trvání investice je vždy vyšší než celková změna cenové hladiny za stejné období.
Následující graf ukazuje vývoj procentní změny indexu spotřebitelských cen za měsíc říjen proti dubnu příslušného roku resp. za měsíc duben proti říjnu předešlého roku v letech 2002-2012. V grafu je patrné pravidelné střídání období s relativně nízkou a vysokou šestiměsíční mírou inflace, od které je odvozen výnos proti-inflačního SSD za příslušné výnosové období.
| 4/2002 | říjen '02 | duben '03 | 10/2003 | duben '04 | říjen '04 | 4/2005 | říjen '05 | duben '06 | 10/2006 | duben '07 | říjen '07 | 4/2008 | říjen '08 | duben '09 | 10/2009 | duben '10 | říjen '10 | 4/2011 | říjen '11 | duben '12 | 10/2012 | |
|---|---|---|---|---|---|---|---|---|---|---|---|---|---|---|---|---|---|---|---|---|---|---|
| 6 měsíční míra inflace | 1,6 | -0,9 | 0,8 | -0,4 | 2,6 | 0,7 | 0,9 | 1,6 | 1,2 | 0,1 | 2,3 | 1,7 | 5 | 0,9 | 0,9 | -1,1 | 2,2 | -0,3 | 1,8 | 0,4 | 3,1 | 0,3 |
| Průměrná inflace v říjnu | 0,28415 | 0,28415 | 0,28415 | 0,28415 | 0,28415 | 0,28415 | 0,28415 | 0,28415 | 0,28415 | 0,28415 | 0,28415 | 0,28415 | 0,28415 | 0,28415 | 0,28415 | 0,28415 | 0,28415 | 0,28415 | 0,28415 | 0,28415 | 0,28415 | 0,28415 |
| Průměrná inflace v dubnu | 2,045936 | 2,045936 | 2,045936 | 2,045936 | 2,045936 | 2,045936 | 2,045936 | 2,045936 | 2,045936 | 2,045936 | 2,045936 | 2,045936 | 2,045936 | 2,045936 | 2,045936 | 2,045936 | 2,045936 | 2,045936 | 2,045936 | 2,045936 | 2,045936 | 2,045936 |
| duben | říjen | |
| minimum | 0,8 | -1,1 |
|---|---|---|
| průměr | 2,0 | 0,3 |
| maximum | 5,0 | 1,7 |
| celková* | 24,9 | 3,1 |
3. Jaký je tedy rozdíl mezi mírou inflace a výnosem proti-inflačního SSD?
Uvažujme proti-inflační SSD, který je vydán 12. prosince 2011 a má stejné parametry kalkulace výnosů jako skutečný proti-inflační SSD vydaný Ministerstvem financí dne 12. června 2012. Výnosové období je 6 měsíců. První výnos z tohoto dluhopisu je vyplácen 12. června 2012 a druhý výnos 12. prosince 2012. Vzhledem k technickým omezením je pro stanovení míry inflace relevantní měsíc, který o dva měsíce předchází měsíci výplaty výnosu. Z internetových stránek ČSÚ lze zjistit, že meziroční míra inflace v říjnu 2012 dosáhla hodnoty 3,41 %. Tato meziroční míra inflace v měsíci říjnu 2012 je stanovena jako podíl bazického indexu spotřebitelských cen za měsíc říjen 2012 (základ v roce 2005) a bazického indexu spotřebitelských cen za měsíc říjen 2011 (základ v roce 2005), tj.
Bazické indexy spotřebitelských cen jsou zveřejňovány ČSÚ na měsíční bázi a lze je nalézt taktéž na této stránce .
Aby výnosy z proti-inflačního SSD plně pokryly inflaci mezi říjnem 2011 a říjnem 2012 je potřeba, aby výnos za obě výnosová období činil celkem 3,41 %.
Výše výnosu proti-inflačního SSD za první výnosové období od 12. 12. 2011 do 12. 06. 2012 je stanovena jako procentní změna bazického indexu spotřebitelských cen za měsíc duben 2012 proti bazickému indexu spotřebitelských cen za měsíc říjen 2011, tj.

kde IrIV12 představuje bazický index spotřebitelský cen v dubnu 2012 (základ v roce 2005) a IrX11 představuje bazický index spotřebitelský cen v říjnu 2011 (základ v roce 2005). Tuto šestiměsíční míru inflace ČSÚ nezveřejňuje.
Výše výnosu proti-inflačního SSD za druhé výnosové období od 12. 6. 2012 do 12. 12. 2012 je stanovena jako procentní změna bazického indexu spotřebitelských cen za měsíc říjen 2012 proti bazickému indexu spotřebitelských cen za měsíc duben 2012, tj.

kde IrX12 představuje bazický index spotřebitelský cen v říjnu 2012 (základ v roce 2005) a IrIV12 představuje bazický index spotřebitelský cen v dubnu 2012 (základ v roce 2005). Tuto šestiměsíční míru inflace ČSÚ nezveřejňuje.
Celkový výnos proti-inflačního SSD v období 12. 12. 2011 až 12. 12. 2012 lze vypočítat jako součin výnosu v prvním výnosovém období a výnosu v druhém výnosovém období, tj.

Poznámka: Uvedený vzorec výpočtu ročního výnosu proti-inflačního SSD neplatí v situaci, kdy v alespoň jednom z výnosových období došlo k deflaci.
Výše uvedeným výpočtem bylo ověřeno, že výnos proti-inflačního SSD v období 12. 12. 2011 až 12. 12. 2012 činí 3,41 % a plně tak pokrývá meziroční inflaci zveřejněnou ČSÚ pro toto období (pozor na technický 2měsíční posun). Dále bylo dokázáno, že výpočty Ministerstva financí jsou plně konzistentní s indexy spotřebitelských cen a meziroční mírou inflace, které zveřejňuje ČSÚ.
4. Jak se vypočítá výnos proti-inflačního SSD?
Pro názornost uvedeme příklad plného zajištění počáteční investice proti inflaci v prvním roce následujícím po nákupu proti-inflačního SSD:
Pan XY si nakoupil 100 000 ks proti-inflačního SSD, který má stejné parametry kalkulace výnosů jako skutečný proti-inflační SSD vydaný Ministerstvem financí dne 12. června 2012, s cílem ochránit tuto investici před inflací. Dluhopis byl vydán 12. prosince 2011 a výnosové období je 6měsíční. První výnosové období je od 12. 11. 2011 do 12. 6. 2012 a druhé výnosové období je 12. 6. 2012 do 12. 12. 2012.
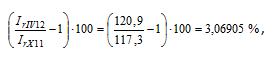
Výnos za první výnosové období se stanoví jako

reinvestice za toto výnosové období činí
3,06905 % . 100000 = 3069,05 a
na majetkový účet pana XY bude připsáno po zaokrouhlení na celé koruny nahoru (v souladu s emisními podmínkami proti-inflačního SSD) 3 070 ks tohoto dluhopisu. Celková jmenovitá hodnota dluhopisu na majetkovém účtu pana XY tak po prvním výnosovém období činí 103 070 ks, která představuje základ pro výpočet reinvestice za druhé výnosové období.
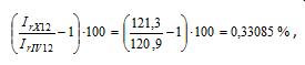
Výnos za druhé výnosové období se stanoví jako
reinvestice za toto výnosové období činí
0,33085 % . 103070 = 341,007095 a
na majetkový účet pana XY bude připsáno po zaokrouhlení na celé koruny nahoru (v souladu s emisními podmínkami) 342 ks tohoto dluhopisu. Celková jmenovitá hodnota dluhopisu na majetkovém účtu pana XY tak po druhém výnosovém období činí 103 412 ks.
Za celé období od 12. 12. 2011 do 12. 12. 2012 se panu XY zvýšila na majetkovém účtu celková jmenovitá hodnota vlastněných dluhopisů o 3 412 ks, což činí 3,412 %.
ČSÚ uveřejnil v listopadu 2012 meziroční míru inflace, která v říjnu 2012 oproti říjnu 2011 činila 3,4 %. Z výše uvedeného příkladu je zřejmé, že konstrukce výpočtu výnosu proti-inflačního SSD na základě bazických indexů spotřebitelských cen koresponduje s meziroční mírou inflace zveřejňovanou ČSÚ, z čehož vyplývá, že počáteční investice do tohoto dluhopisu je plně ochráněna před inflací po dobu trvání této investice.